Символы и формулы для расчета разницы цветов
Цветовая разница является важным параметром для научной количественной оценки цвета. Она относится к расстоянию между разными цветами в определенном цветовом пространстве. Ее обычно понимают как разницу в цвете. Ее можно измерить с помощью колориметра и рассчитать с помощью определенного цветового пространства. формула цветового различия. Итак, какой символ используется для обозначения разницы в цвете? По каким формулам рассчитывается разница цветов? Эта статья представляет собой введение.
Разница в цвете
Что означает разница в цвете?
Цветовое различие обозначается буквой △E, что означает различие. E — это первая буква немецкого слова Empfindung, что означает чувство. Единицей цветового различия является NBS, которая была разработана Американским национальным бюро стандартов и в настоящее время широко используется в различных странах. Одна единица цветового различия NBS примерно эквивалентна 5-кратному порогу визуального распознавания цветового различия. По сравнению со значениями цветового различия двух соседних уровней в системе Манселла одна единица NBS примерно равна 0,1 значению яркости Манселла, 0,15 значению цветности Манселла и 2,5 значению оттенка Манселла (цветность равна 1); разница между двумя соседними уровнями цветов в системе Манселла составляет около 10 единиц NBS. Разница между единицами цветового различия NBS и восприятием цвета человеком описана в следующей таблице. Видно, что единицы цветоразностного измерения NBS ценны для промышленного применения. Новые формулы цветового различия, разработанные позже, часто сознательно корректируют единицы, чтобы они были близки к единицам NBS. Например, единицы формул цветовых различий, таких как ANLAB40, HunterLab, CIELAB и CIELUV, примерно такие же (не равные), что и NBS. единицы и не являются никакими цветовыми различиями. Все единицы цветового различия, рассчитанные по формуле расчета, являются NBS.
CIE ΔE*ab эталонный порог восприятия цветового различия
Часто используемые формулы расчета разницы цветов:
Существует множество типов формул расчета цветовых различий: ΔE*ab, ΔE*uv, ΔE*94, ΔE*cmc, ΔE*00 и т. д., а именно:
1. Формула разницы цветов ΔE*ab
Формула цветового различия ΔE*ab — это сокращение формулы цветового различия CIELAB. Формула цветового различия CIELAB основана на приблизительно однородном трехмерном цветовом пространстве и состоит из прямоугольных координат L*, a*, b*. Международная комиссия по освещению. Эта формула цветового различия основана на цветовом пространстве CIELAB. Если два цвета откалиброваны в соответствии с L*a*b*, общая формула расчета цветовой разницы между ними будет следующей:
В формуле ΔL* — разница яркости; Δa*, Δb* — разница цветности; ΔE*ab — общая цветовая разница;
2. Формула разницы в цвете ΔE*УФ
Формула цветового различия ΔE*uv получается на основе линейного преобразования диаграммы цветности CIE xy. Целью линейного преобразования является повышение однородности по сравнению с результатами визуального контроля. Формула цветового различия CIE1976L*u*v*:
В формуле ΔL* — разница яркости; Δu’, Δv — цветность; ΔE*uv — общая цветовая разница;
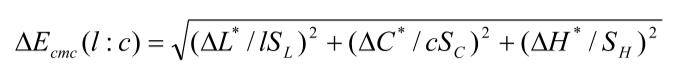
3. Формула разницы в цвете ΔE*cmc
Формула цветового различия ΔE*cmc модифицирована и выведена на основе формулы CIELAB. Формула выглядит следующим образом:
В формуле: △L*, △C* и △H* рассчитываются по формуле цветового различия CIE1976LAB. SL, SC и SH — это весовые функции яркости, цветности и оттенка соответственно, которые используются для регулировки различной яркости. разная цветность и разные пары оттенков. Вклад цветовой разницы. l и c — коэффициенты параметров, используемые для корректировки влияния различных условий наблюдения на хроматическую аберрацию. Выбор значений l и c: Для «наблюдаемости» данных визуальной идентификации цветового различия допустимо l=c=1. Для «приемлемости» данных визуальной идентификации цветового различия приемлемы l=2 и c=1.
4. Формула разницы в цвете ΔE*94
Полное название формулы цветового различия ΔE*94 — «Модель цветового различия CIE1994 (△L*△C*ab△H*ab). Официальное сокращение — CIE94, а символ цветового различия — △E*94. Формула цветового различия △E*94 представляет собой улучшенную форму формулы цветового различия CMC (1:c). Ее структура аналогична формуле цветового различия ΔE*CMC (l:c). Формула расчета этой формулы следующая. следует:
В приведенной выше формуле △L, △C*ab и △H*ab соответственно представляют различия в трех компонентах яркости, цветности и цветности цветов между образцами, которые рассчитываются по формуле цветового различия CIELAB. Три параметра kL, kC и kH такие же, как kl и kc в формуле CMC (l:c), и их значения могут быть определены в соответствии с конкретным объектом. В полиграфической промышленности рекомендуется использовать kL=1,4, kC=kH=l, в текстильной промышленности, когда kL=2, kC=kH=1, результаты расчета по формуле цветового различия CIE94 ближе к визуальной оценке;
5. Формула разницы в цвете ΔE*00
Формула цветового различия ΔE*00 — это аббревиатура формулы цветового различия CIEDE2000. Это новейшая формула цветового различия, рекомендованная CIE, основанная на CIELAB. Формула цветового различия следующая:
В формуле: KL, KC и KH — три постоянных параметра, которые определяются в соответствии с различными объектами испытаний или требованиями контроля качества цвета. В текстильной промышленности KL обычно принимает 2, KC и KH обычно принимают 1; SC, SH Они представляют собой весовые коэффициенты яркости, цветности и оттенка соответственно, которые используются для коррекции однородности цветового пространства. RT представляет собой функцию вращения, которая используется для коррекции отклонения в направлении главной оси эллипса допуска; в синей области цветового пространства. CIEDE2000 лишь переопределяет метод расчета цветового различия, но не устанавливает новое единое цветовое пространство. Для общей промышленной оценки цветовой разницы эту формулу можно использовать непосредственно для расчета, а результат расчета может представлять воспринимаемую цветовую разницу.




